Xuất khẩu hàng hóa sang thị trường Ấn Độ năm qua tăng trưởng 6,7%, đạt 8,5 tỷ USD.
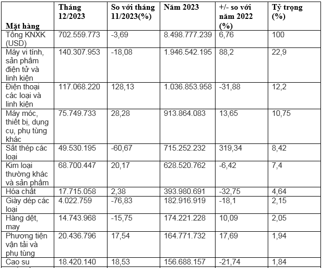
Theo số liệu thống kê của Tổng cục hải quan, kim ngạch xuất khẩu hàng hóa Việt Nam sang Ấn Độ trong tháng 12/2023 đạt 702,5 triệu USD, giảm 3,6% so với tháng trước. Tính chung năm 2023 đạt hơn 8,49 tỷ USD, tăng 6,7% so với cùng kỳ năm trước.
Dẫn đầu kim ngạch xuất khẩu trong năm 2023 là nhóm mặt hàng máy vi tính, sản phẩm điện tử và linh kiện đạt 1,94 tỷ USD, tăng 88,2% so với cùng kỳ năm trước, chiếm 22,9% tỷ trọng.
Tiếp đến là nhóm hàng điện thoại các loại và linh kiện đạt 1,03 tỷ, chiếm 12,2% tỷ trọng.
Trong năm 2023, kim ngạch xuất khẩu một số nhóm mặt hàng có mức tăng trưởng so với cùng kỳ năm trước: Sắt thép các loại tăng 319,3%; gỗ và sản phẩm gỗ tăng 287,3%; sản phẩm từ cao su tăng 65,7%.
Ấn Độ hiện là đối tác thương mại lớn nhất của Việt Nam tại khu vực Nam Á, chiếm tỷ trọng gần 80% xuất khẩu của Việt Nam đến khu vực này.
Thương mại là trụ cột quan trọng trong quan hệ song phương Việt Nam - Ấn Độ, liên tục đạt tăng trưởng đều đặn trong hơn 20 năm qua. Quan hệ song phương từ mức khoảng 200 triệu USD năm 2000 đã đạt mức 15 tỷ USD năm 2022 đưa Ấn Độ trở thành 1 trong 8 đối tác thương mại hàng đầu của Việt Nam, trong khi Việt Nam nằm trong top 4 quốc gia ASEAN có quan hệ thương mại với Ấn Độ.
Kim ngạch xuất khẩu của Việt Nam đến Ấn Độ năm 2022 đạt 8 tỷ USD, tăng 26,8% so với năm 2021. Xuất khẩu của Việt Nam đến Ấn Độ chiếm tỷ trọng 2,1% trong tổng kim ngạch xuất khẩu của Việt Nam.
Kim ngạch nhập khẩu của Việt Nam từ Ấn Độ đạt 7,1 tỷ USD, tăng 1,8% so với năm 2021. Nhập khẩu của Việt Nam từ Ấn Độ chiếm tỷ trọng 2% trong tổng kim ngạch nhập khẩu của Việt Nam. Xuất siêu của Việt Nam đến Ấn Độ có giá trị 875,1 triệu USD, giảm 228,1% so với năm 2021
Cơ cấu mặt hàng xuất nhập khẩu cân bằng và có sự bổ sung cho nhau. Trong khi Ấn Độ là nguồn cung cấp nguyên liệu và thành phẩm quan trọng cho Việt Nam đối với các mặt hàng sắt thép, hóa chất, dược phẩm, dệt may, thức ăn chăn nuôi, thủy sản thì nhóm mặt hàng xuất khẩu hàng đầu của Việt Nam sang Ấn Độ là máy tính cá nhân; điện thoại di động và linh kiện, sắt thép, hóa chất, gỗ và sản phẩm từ gỗ, giày dép, gia vị, cà phê, hồ tiêu…
Xuất khẩu hàng hóa sang thị trường Ấn Độ trong năm 2024 vẫn mở ra cơ hội cho doanh nghiệp Việt, khi nhu cầu tiêu dùng tại thị trường 1,4 tỷ dân dần phục hồi và lấy lại đà tăng trưởng sau đại dịch.
![]() |
Xuất khẩu hàng hóa của nước ta sang Ấn Độ năm 2023 đạt gần 8,5 tỷ USD. |
