Xuất khẩu máy tính, linh kiện điện tử sang Mỹ lần đầu tiên chạm 23 tỷ USD trong năm 2024, tăng 36,3% so với năm 2023. Ảnh: Đức Thanh
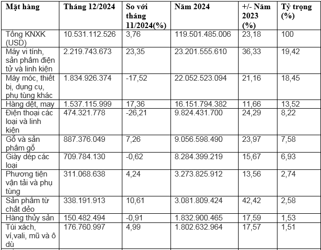
Theo số liệu thống kê của Tổng cục hải quan, kim ngạch xuất khẩu hàng hóa Việt Nam sang thị trường Mỹ trong tháng 12/2024 đạt hơn 10,5 tỷ USD, tăng 3,7% so với tháng 11. Tính cả năm 2024, xuất khẩu sang thị trường này đạt gần 119,6 tỷ USD, tăng 23,1% so với năm trước.
Hiện nay, hơn một nửa giá trị xuất khẩu của Việt Nam sang Mỹ là các sản phẩm công nghệ cao, bao gồm hàng điện tử tiêu dùng, điện thoại thông minh, và các sản phẩm may mặc và giày dép, còn lại là các sản phẩm khác như nội thất và nông sản.
Trong năm 2024, dẫn đầu kim ngạch xuất khẩu là máy vi tính sản phẩm điện tử và linh kiện đạt hơn 23,2 tỷ USD, tăng 36,3% so với cùng kỳ năm trước, chiếm 19,4% tỷ trọng xuất khẩu.
Tiếp đến là nhóm hàng máy móc, thiết bị, dụng cụ và phụ tùng đạt 22,05 tỷ USD, tăng 21,1% so với cùng kỳ năm trước, chiếm 18,4%. Xuất khẩu hàng dệt may đạt 16,1 tỷ USD, chiếm 13,5% tỷ trọng xuất khẩu.
Những mặt hàng có kim ngạch xuất khẩu tăng trong năm 2024 so với năm trước đó còn có: Sản phẩm từ chất dẻo tăng 42,4%; sắt thép các loại tăng 54,8%; hạt tiêu tăng 84,2%; thức ăn gia súc và nguyên liệu tăng 42,9%; thủy tinh và các sản phẩm từ thủy tinh tăng 88,1%; chè tăng 47,5%.
Việt Nam đã trở thành đối tác thương mại lớn của Mỹ và là một mắt xích quan trọng trong chuỗi cung ứng nhiều loại hàng hóa cho thị trường Mỹ. Năm 2024, Việt Nam là đối tác lớn thứ 8 của Mỹ, chiếm 4,13% tổng kim ngạch xuất khẩu sang thị trường này.
Trong số các mặt hàng xuất khẩu của Việt Nam sang Mỹ như điện tử, nông sản, thuỷ sản, đồ nội thất, trang trí… chiếm vị thế hết sức quan trọng. Bởi lẽ, đây là các nhóm mặt hàng thế mạnh của Việt Nam và Mỹ có nhu cầu lớn.
Năm 2025, xuất khẩu hàng hóa sang Mỹ, thị trường lớn nhất của nước ta trong năm 2025 dự báo có nhiều biến động, bởi chính sách thương mại mới của Tổng thống đắc cử Donald Trump.
Bộ Công thương đã đưa ra 2 kịch bản với hàng xuất khẩu đi Mỹ trong năm nay.
Theo đó, với kịch bản khả quan là Mỹ duy trì chính sách thuế hiện hành đối với hàng Việt Nam, trong xu hướng dịch chuyển chuỗi cung ứng, Việt Nam hoàn toàn có thể đón nhận dòng đầu tư để gia tăng xuất khẩu.
Ở kịch bản thứ hai, nếu tác động thuế quan gắt gao, chặt hơn có thể tác động đến kinh tế toàn cầu, khiến xuất khẩu hàng hoá của Việt Nam có thể ảnh hưởng ít nhiều. Cùng với đó là thị trường Trung Quốc - đối tác lớn của Mỹ nếu gặp khó khăn do bị áp thuế cũng sẽ tạo ra sức ép tại Mỹ, từ đó tạo sức ép với nước ta.
Đối với kịch bản này, Bộ Công thương sẽ xem xét báo cáo Chính phủ để hỗ trợ doanh nghiệp sản xuất, xuất khẩu trong việc đa dạng hóa thị trường trong thời gian tới.
Kim ngạch xuất khẩu các mặt hàng có kim ngạch lớn sang Mỹ năm 2024.
![]() |
