Công ty TNHH Saigon Glory vừa công bố thông tin tài chính định kỳ với các số liệu tài chính cơ bản. Theo đó, tính tới cuối năm 2022, vốn chủ sở hữu của Saigon Glory đạt 6.847,5 tỷ đồng, giảm nhẹ 2,2% so với đầu năm.
Hệ số nợ phải trả/vốn chủ sở hữu tính tới cuối năm 2022 đạt 3,99 lần, tương ứng nợ phải trả ở mức 27.321,5 tỷ đồng. Con số này tăng 4,6% so với năm trước.
Hệ số nợ trái phiếu/vốn chủ sở hữu là 1,46 lần, tương ứng nợ trái phiếu của doanh nghiệp là 9.997,3 tỷ đồng.
Nếu như năm 2022, Saigon Glory ghi nhận lợi nhuận sau thuế 290,48 tỷ đồng, thì năm 2022, Công ty lỗ sau thuế 152,3 tỷ đồng. Tỷ suất lợi nhuận sau thuế/vốn chủ sở hữu (ROE) -2,22%, trong khi năm trước đạt 4,15%.
![]() |
Thông tin tài chính của Saigon Glory |
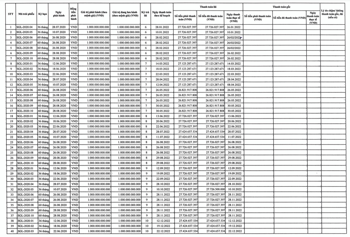
Theo thông tin từ HNX, Saigon Glory đang lưu hành 10 lô trái phiếu có mã thứ tự từ SGL-2020.01 đến SGL-2020.10, với tổng giá trị 10.000 tỷ đồng. Các lô trái phiếu này đều do Công ty Cổ phần Chứng khoán Tân Việt (TSVI) làm tổ chức lưu ký. Trong đó, các lô trái phiếu có mã thứ tự từ SGL-2020.01 đến SGL-2020.05 sẽ đáo hạn trong tháng 6 và tháng 7 tới đây.
Theo báo cáo tình hình thanh toán gốc, lãi trái phiếu năm 2022, Saigon Glory đã có 40 đợt thanh toán lãi trái phiếu cho 10 lô trái phiếu có mã từ SGL-2020.01 đến SGL-2020.10. Mỗi đợt, Saigon Glory đã thanh toán hơn 27,7 tỷ đồng, tổng cộng qua 40 đợt, đã thanh toán gần 1.110 tỷ đồng tiền lãi trái phiếu.
![]() |
| Saigon Glory trả đúng hạn 40 lần trái phiếu đến hạn trả lãi năm 2022 |
Công ty TNHH Saigon Glory được thành lập vào ngày 23/06/2018, có vốn điều lệ 7.000 tỷ đồng, do Công ty TNHH Tập đoàn Bitexco (Bitexco Group) nắm 100% vốn. Ông Vũ Quang Bảo là đại diện pháp luật của Công ty.
Saigon Glory được biết đến với vai trò là chủ đầu tư siêu dự án One Central Saigon nằm trên khu đất tứ giác Bến Thành có vị trí đắc địa ngay tại trung tâm quận 1, TP.HCM.

